您的位置: 首页 > 2025年10月 第40卷 第10期 > 文字全文
2023年7月 第38卷 第7期11
目录

新疆眼科资源配置现状调查研究

An investigation and research into the current status of ophthalmology resource allocation in Xinjiang

来源期刊: 眼科学报 | 769-776 发布时间: 2025-10-28 收稿时间:2025/10/27 10:25:35 阅读量:53
作者:
关键词:
眼科医疗资源公平性洛伦兹曲线
ophthalmology medical resources equity lorenz curve Gini coefficient
DOI:
10.12419/25033001
收稿时间:
2025-04-03 
修订日期:
2025-06-05 
接收日期:
2025-08-25 
目的:分析新疆眼科资源配置现状,为优化地区资源配置提供依据。方法:采用问卷调查收集新疆眼科医疗机构数、床位数、医师数及护士数资料,运用洛伦兹曲线和基尼系数评估其在人口和地域面积的配置公平性。结果:2024年新疆每10万人口有眼科医疗机构0.68个、眼科床位13.90张、眼科医师7.68人、眼科护士5.88人。按人口配置:眼科医疗机构数、眼科床位数、眼科医师数、眼科护士数的基尼系数分别为0.22、0.23、0.26、0.29(相对公平);按地域面积配置:眼科医疗机构数、眼科床位数、眼科医师数、眼科护士数的基尼系数分别为0.40、0.60、0.59、0.60(高度不公平)。结论:新疆眼科资源总量显著提升,但地域配置公平性极差(基尼系数普遍大于0.4),护士配置明显不足。亟须优化资源配置策略,重点提升地域(尤其是偏远广阔地区)可及性并加强护士队伍建设。
Objective: To analyze the equity of ophthalmic resource allocation in Xinjiang and provide evidence for optimizing distribution. Methods: Data on the number of ophthalmic medical institutions,beds, physicians, and nurses in Xinjiang were collected through questionnaires. The Lorenz curve and Gini coefficient were used to evaluate allocation equity in terms of population and geographic area. Results: In 2024,Xinjiang had 0.68 ophthalmic medical institutions,13.90 ophthalmic beds, 7.68 ophthalmic physicians,and 5.88 ophthalmic nurses per 100,000 population. Population-based allocation showed Gini coefficients of 0.22, 0.23, 0.26,and 0.29 for ophthalmic institutions,beds, physicians,and nurses respectively (relatively equitable). Geographic area-based allocation yielded Gini coefficients of 0.40, 0.60, 0.59, and 0.60 for the same categories (highly inequitable). Conclusions: While the total ophthalmic resources in Xinjiang have significantly increased, geographic allocation remains extremely inequitable (Gini coefficients generally >0.4), with particularly insufficient nurse staffing. Urgent optimization of resource allocation strategies is needed, focusing on improving accessibility in remote areas and strengthening the nursing workforce.

文章亮点

1. 关键发现

· 新疆眼科资源(机构、床位、医师、护士)总量较历史有显著增长,但按地理面积配置的公平性极差,基尼系数普遍超过0.4的警戒线,甚至达到0.6的高度不公平状态。眼科医护比为1:0.86,未达到国家1:1的标准,护理人力资源存在明显缺口。

2. 已知与发现

· 在国家“十四五”眼健康规划等政策引导下,新疆地区眼科服务体系持续建设和加强。既往研究已关注卫生资源分配的公平性问题。

3. 意义与改变

· 研究结果为新疆乃至其他地广人稀地区优化眼科卫生规划提供了关键证据。建议相关政策制定者在关注人均资源量同时,更需将地理可及性作为核心考量,实施差异化的资源配置策略。

        眼病不仅影响视觉,而且可能导致患者生活和心理出现问题,是全球范围内重要的公共卫生问题。随着我国社会经济发展和大众生活质量提高,以及人口老龄化和近视低龄化加剧,眼病患者人数不断增加,大众对眼健康的重视程度也在不断提升。《“十四五”全国眼健康规划(2021—2025年)》指出,“十四五”时期,着力加强眼科医疗服务体系建设、能力建设、人才队伍建设,持续完善眼科医疗质量控制体系,推动眼科优质医疗资源扩容并下延,对构建优质高效的眼健康服务体系提出了更高要求。2025年是“十四五”收官之年,本研究旨在探讨新疆眼科资源在“十四五”期间的配置公平性,以期为该地区进一步制定切合实际的眼科发展规划和开展眼健康工作,提供科学参考依据和研究支持。

1  资料与方法

1.1调查对象

        新疆维吾尔自治区2024年12月31日之前在卫生行政主管部门注册的所有县级及以上能进行眼科临床服务的综合医院眼科、五官科和眼科医院,不包括兵团及部队所属医院。

1.2调查方法

        采用横断面调查方法。由新疆维吾尔自治区卫生健康委员会下发通知、自治区眼科专业质量控制中心(挂靠自治区人民医院)组织,于2025年1—3月通过问卷星( www.wjx.cn)自制问卷网上填报。问卷调查前,对各眼科机构的调查表填报人员进行统一培训并跟踪填报。调查表包括眼科机构数目、开放床位数、眼科医师数、护士数。调查表由眼科机构负责人审核后,提交上报至自治区眼科专业质量控制中心。质控中心对调查表中数据的逻辑性和一致性进行检验,并由眼科医生和统计分析专业人员对存在缺项、漏项、逻辑错误的调查表进行电话回访和补填,以保证数据的准确性和有效性。共183家眼科机构填写问卷,有效问卷166份,有效问卷回收率90.71%(166/183)。

1.3分析方法

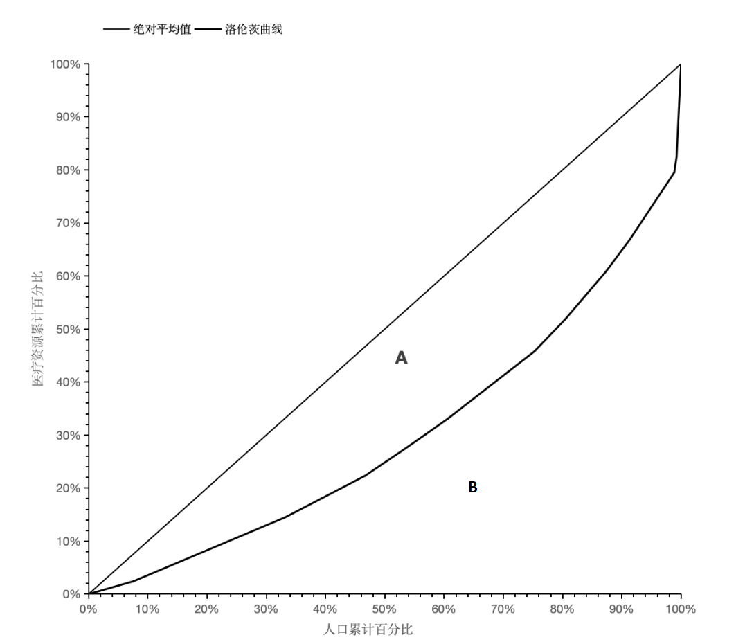
        基尼系数计算基本原理:基尼系数是在绘制洛伦茨曲线基础上计算的,通常采用某地累计人口百分比(评价资源人口公平性时用)或累计地理面积百分比(评价资源地理公平性时用) 作为X轴,而累计的资源百分比作为Y轴。基尼系数是绝对公平线、洛伦兹曲线所围成的面积与由X轴、绝对公平线、X = 100%所围三角形面积之比:A/(A+B),由于绝对公平线、洛伦兹曲线所围面积A不能直接求出,需先求出由洛伦兹曲线与 X 轴、X = 100% 所围成的面积B,再间接求出面积A[1],见图1。以人均眼科资源(眼科医疗机构数、眼科床位数、眼科医师数、眼科护士数)升序排列后的人口累计(地域面积累计)百分比为横轴,以眼科资源累计百分比为纵轴,采用Excel 2014软件绘制洛伦茨曲线。洛伦茨曲线对角线为公平线,曲线越接近公平线,资源配置公平性越高,曲线弯曲程度越大,资源配置越不公平。计算基尼系数,眼科资源配置按人口数目、地域面积的公平性进行定量评估。

图1 洛伦兹曲线与基尼系数的关系

 Figure 1 The Relationship between the Lorenz Curve and the Gini Coefficient

图1 洛伦兹曲线与基尼系数的关系 Figure 1. The Relationship between the Lorenz Curve and the Gini Coefficient

2   结果

2.1 眼科资源配置情况  

        2024年新疆共有眼科医疗机构166家,开放床位3 309张,眼科医师1828名,眼科护士1 575名。按人口计算,2024年新疆每10万人口有眼科医疗机构0.68家、眼科床位13.90张、眼科医师7.68人、眼科护士5.88人;在眼科医疗机构及眼科医师上:阿勒泰地区每10万人口有眼科医疗机构3.6个,眼科医师20.72人,为全疆最高水平;在眼科床位及眼科护士上:乌鲁木齐市每10万人口有眼科床位26.93张,眼科护士14.22人,为全疆最高水平。见表1。

表1 2024年新疆各地州每10万人口眼科资源情况 

Table 1 Distribution of ophthalmic resources per 100,000 population by prefecture in Xin

地区

每10万人口眼科医疗机构/个

每10万人口眼科床位/张

每10万人口眼科医师/人

每10万人口眼科护士/人

乌鲁木齐市

0.71

26.93

15.23

14.22

阿克苏市

0.55

12.33

6.6

4.88

阿勒泰地区

3.6

9.91

20.72

10.36

巴音郭楞蒙古自治州

1.4

15.27

8.2

7.53

博尔塔拉蒙古自治州

1.62

17.41

9.31

7.69

昌吉市

0.62

12.59

6.48

6.48

哈密市

0.63

4.29

3.81

1.9

和田地区

0.52

9.58

3.87

4.59

喀什地区

0.38

8.36

4.57

3.15

克拉玛依市

1.02

18.77

9.59

9.59

克孜勒苏柯尔克孜自治州

0.79

13.13

6.49

5.85

塔城地区

0.91

10.04

6.11

5.84

吐鲁番市

0.72

13.85

5.34

6.06

伊犁哈萨克自治州

0.74

12.29

7.38

4.99

2.2   眼科资源配置公平性  

        新疆眼科资源按人口配置:眼科医疗机构数、眼科床位数、眼科医师数、眼科护士数的基尼系数分别为0.22、0.23、0.26、0.29(相对公平)。按地域面积配置:眼科医疗机构数、眼科床位数、眼科医师数、眼科护士数的基尼系数分别为0.40、0.60、0.59、0.60(高度不公平)。见图2和图3。

图2 2024年新疆眼科资源按常住人口分布的洛伦茨曲线

 Figure 2 Lorenz Curve illustrating the distribution of ophthalmic resources against the permanent resident population in Xinjiang, 2024

图2 2024年新疆眼科资源按常住人口分布的洛伦茨曲线 Figure 2 Lorenz Curve illustrating the distribution of ophthalmic resources against the permanent resident population in Xinjiang, 2024

图3 2024年新疆眼科资源按地域面积分布的洛伦茨曲线 

 Figure 3 Lorenz Curve illustrating the distribution of ophthalmic resources against the land area in Xinjiang, 2024

图3 2024年新疆眼科资源按地域面积分布的洛伦茨曲线 Figure 3 Lorenz Curve illustrating the distribution of ophthalmic resources against the land area in Xinjiang, 2024

3  讨论

3.1  新疆维吾尔自治区在国家政策引导下逐步健全眼科医疗服务体系,但护理人员缺口明显

        截至2024年12月31日,新疆眼科医疗机构数量达到166家,较2010年[2](107家)增加59家;每10万人口拥有眼科医疗机构0.68家,与全国每33.68万人口拥有1家眼科机构相比[3],我区眼科医疗机构总数高于全国平均水平。每10万人口有眼科床位13.90张,眼科医师7.68人,较2014年(10.11张,2.44人)均实现显著增长,并远超世界卫生组织(World Health Organization, WHO)对亚洲地区提出保障眼科基本医疗服务标准:到2020年实现每10万人口配置2名眼科医师[4]。这些成就得益于《“十四五”全国眼健康规划(2021—2025年)》的有效实施以及“健康新疆”战略的持续推进,但床位和医师配置水平仅达到2014年上海水平(13.17张/10万人、7.15人/10万人)[5-6],与发达地区差距仍明显;每10万人口有眼科护士5.88人,眼科医护比1:0.86,未达国家1:1标准[7],同2014年我国眼科医护比(1∶1.13)[8]相比,差距明显,护理人员缺口明显。

3.2  眼科资源配置公平性

        美国统计学家M.O.Lorenz于1907年按照社会不同阶层人口收入占全国收入的比例提出了洛伦兹曲线(Lorenzcurve)。随后,在1922年意大利经济学家基尼(CorradoGini)根据洛伦兹曲线提出了基尼系数,该指标最早用于衡量经济学领域收入分配的公平性。1986年美国的Musgrove等[9]首先将基尼系数用于卫生资源分布公平程度的测定。我国学者丁汉生、胡善联最早用这一方法对我国1978—1989年的卫生配置公平性进行研究[1]。基尼系数是根据洛伦兹曲线计算出的反映卫生资源配置公平程度的统计指标;其取值位于0~1,数值越接近0,表示资源分布越公平,反之则表示资源越集中。基尼系数在0.2 以下表示接近绝对平均,0.4 为收入分配差距的“警戒线”,达到0.6以上属于高度不公平的危险状态[10-11]。本研究利用洛伦兹曲线和基尼系数分析新疆眼科资源配置公平性,按人口配置:眼科医疗机构数、眼科床位数、眼科医师数、眼科护士数的基尼系数分别为0.22、0.23、0.26、0.29,处于相对公平状态。按地域面积配置:眼科医疗机构数、眼科床位数、眼科医师数、眼科护士数的基尼系数分别为0.40、0.60、0.59、0.60,处于高度不公平状态,进一步计算各地州(市)按地域面积配置的基尼系数:伊犁哈萨克自治州、巴音郭楞蒙古自治州、和田地区、喀什地区均在0.8~0.9,处于高度不公平危险状态;这种“按人口相对公平,按地域高度不公平”的特征其根源在于人口分布与地理空间分布的极端不匹配。新疆地域辽阔,无人居住的草原、沙漠和戈壁占据大部分面积,且人口居住相对分散,导致卫生技术人员服务半径扩大,影响整个公平性分析的结果。因此,政府在进行医疗资源配置时要因地制宜,结合实际情况进行规划,综合考虑人口因素和地域性因素,针对卫生服务半径大的地区按照人口配置资源进行卫生政策倾斜,针对人口密集地区,按照地域面积配置医疗卫生资源,以需求为导向,逐步缩小各地区差异。洛伦兹曲线和基尼系数虽然在一定程度上能反映卫生资源配置中存在的问题,但存在一定的缺陷[12-13]会掩盖区域间的不公平性。本研究仅从眼科资源配置量上评价新疆医疗机构眼科资源配置情况,今后研究还应考虑服务质量,以及资源配置公平与资源利用效率的关系,才能从根本上提升卫生资源利用效能。

3.3  针对新疆眼科资源配置现状,进一步可通过各种措施提高眼科服务能力

        我国眼病患者群体基数庞大,在人口老龄化的持续影响下显得尤为突出,患病人数呈现出不断增长的趋势。资源配置不公、诊疗覆盖率不足,且疾病晚期治疗手段受限,这些因素共同导致了眼病患者的视功能恢复情况欠佳,致盲率居高不下[14]。政府在制定和实施区域卫生规划时不仅要考虑到卫生资源配置的人口公平性,也应考虑到地理公平性。我们可以通过改进区域卫生资源配置标准,依据一定的服务半径和服务人数对卫生机构进行调整,在人口稀少、居住分散的地区适当增加卫生资源,从而使卫生资源结构逐步得到优化调整。1)完善多层次医保体系:整合城乡医保与新农合,发展商业健康保险,建立普惠性补充险,保障农村居民就医机会均等。2)激励医生下沉基层:试点推广“签约人头预付制”,用社保基金预付乡村医生签约服务费,吸引优秀医务人员到基层。3)发展农村远程医疗:在基层普及远程问诊、监测等服务,支持建设基层远程医疗平台,提升资源可及性和公平性。4)财政支持资源均衡:对赴偏远乡村就业或开业的医生/民营机构,给予工资补贴、投资补助、税收减免等财政激励,促进医务人员区域均衡配置[15]。李小亭等[16]基于基尼系数和差别指数方法,分析广东省医疗卫生资源配置的公平性,发现政府的卫生支出在一定程度上增加了物力资源的公平性,对西部欠发达地区的医疗卫生资金扶持使得床位资源的公平性得到提升。而卫生总投入的公平性和空间公平性的下降则说明应继续加强政府的空间干预政策力度,继续加大对欠发达地区的资金扶持。法国在2009年启动远程医疗建设,调查显示82.8%的人认为远程医疗可以改善医疗服务的获取公平[17] 。日本推行的远程医疗使农村地区转诊率下降,对于改善农村地区如心脏病等大病治疗有着良好效果,并且节约了一系列医疗费用[18] 。黄文彬等[19]研究构建基于眼底图像的5G医疗眼科人工智能(artificial intelligence,AI)辅助诊断中心,通过远程阅片进行眼病筛查、多科合作,建立眼病诊、防、治一体化研究网络。该中心的构建与应用为基层医院提供便捷的眼底筛查手段,也极大地提高基层医院对于眼底疾病的筛查速度,并能快速地为需要转诊的患者提供了优质医疗资源。赵旭峰等[20]依托三级线上远程医疗培训,提升了新疆地区眼科医师的眼底疾病诊断能力;初步远程医疗教育模式在偏远地区医疗资源不足的情况下展示了可行性和有效性的潜力[21]。同时通过国家区域医疗中心、国家医学中心等建设,提升龙头医院的辐射作用,通过医疗集团、医疗共同体、专科联盟、远程医疗协作网等,推动眼科发展以及解决基层、偏远和欠发达地区医疗机构的诊疗能力不足的问题[22-27]
        眼科护士是提供眼科卫生服务的重要主体之一,其数量和结构决定着眼科护理的质量和效果,护理工作质量又直接关系到医疗质量和医疗安全,关系到社会对医疗卫生服务的满意程度,应当加强我区眼科护士队伍的建设[8],王艳等[28]报道医联体内优质护理资源下沉,从三级医院下沉到社区,组建由专科护士和医生等参与的团队,通过微信群对社区护士进行指导,或通过专科护理门诊为社区患者提供护理服务,有效改善了患者健康结局指标。
        在现有护理人员基础上,逐步实行区域内护士执业注册,鼓励有条件的地区探索护士多点执业,结合目前分级诊疗模式的推行以及专科护士的快速发展,可以率先鼓励有资质的护士在基层医疗卫生机构进行指导或服务、开设专科护理会诊等。支持包括上门服务、不同医院之间多点执业、非固定工作时间自由选择执业机构等多种多点执业形式。参考国外护士的工作模式,建议多点执业可以从政策角度鼓励护士灵活安排时间。以全职、兼职并存的形式开展多点执业[29-31]。同时调整医学教育专业结构、关心护士的身心健康、改善工作条件、建立健全支持保障系统、建立科学的绩效考核机制等,努力创造良好的职业发展条件,稳定临床一线护士队伍[32]
        在国家“十四五”眼健康规划等政策引导下,新疆地区眼科服务体系持续建设和加强,眼科资源(机构、床位、医师、护士)总量较历史有显著增长,但按地理面积配置的公平性较差,护理人力资源存在明显缺口。建议相关政策制定者在关注人均资源量同时,更需将地理可及性作为核心考量,实施差异化的资源配置策略。

声明

        在论文撰写中无使用生成式人工智能。论文撰写中的所有内容均由作者独立完成,并对出版物的真实性与准确性承担全部责任。

利益冲突

        所有作者均声明不存在利益冲突。

开放获取声明

        本文适用于知识共享许可协议(Creative Commons),允许第三方用户按照署名(BY)-非商业性使用(NC)-禁止演绎(ND)(CC BY-NC-ND)的方式共享,即允许第三方对本刊发表的文章进行复制、发行、展览、表演、放映、广播或通过信息网络向公众传播,但在这些过程中必须保留作者署名、仅限于非商业性目的、不得进行演绎创作。

1、韩晓宇, 陈平, 张蒋惠, 等. 基尼系数在卫生资源配置公平性研究中不同算法的实证研究[J].中国卫生统计, 2021,38(1): 128-130.DOI:10.3969/j.issn.1002-3674.2021.01.033.
Han XY, Chen P, Zhang JH, et al. An empirical study on different algorithms of Gini coefficient in the study of fairness of health resource allocation[J]. Chin J Health Stat, 2021, 38(1): 128-130. DOI:10.3969/j.issn.1002-3674.2021.01.033.
Han XY, Chen P, Zhang JH, et al. An empirical study on different algorithms of Gini coefficient in the study of fairness of health resource allocation[J]. Chin J Health Stat, 2021, 38(1): 128-130. DOI:10.3969/j.issn.1002-3674.2021.01.033.
2、麦尔当·艾力木. 新疆眼科资源配置现况调查研究[D]. 乌鲁木齐: 新疆医科大学, 2012.
Mai er-dang·Ai li-mu.Investigation of ophthalmic resources configuration in Xinjiang[D].Urumqi: Xinjiang Medical University,2012.
Mai er-dang·Ai li-mu.Investigation of ophthalmic resources configuration in Xinjiang[D].Urumqi: Xinjiang Medical University,2012.
3、文磊, 梁莉, 顾永昊, 等. 安徽省医疗机构眼科资源现状调查[J].实用防盲技术, 2021,16(4): 167-169.DOI:10.3969/j.issn.1673-3835.2021.04.010.
Wen L, Liang L, Gu YH. Investigation on ophthalmic resources in medical institutions in Anhui Province[J]. J Pract Prev Blind, 2021, 16(4): 167-169+封2. DOI:10.3969/j.issn.1673-3835.2021.04.010.
Wen L, Liang L, Gu YH. Investigation on ophthalmic resources in medical institutions in Anhui Province[J]. J Pract Prev Blind, 2021, 16(4): 167-169. DOI:10.3969/j.issn.1673-3835.2021.04.010.
4、 World Health Organization. (2007). Vision 2020 - the right to sight: global initiative for the elimination of avoidable blindness: Action Plan 2006 - 2011 [R]. Geneva: World Health Organization. World Health Organization. (2007). Vision 2020 - the right to sight: global initiative for the elimination of avoidable blindness: Action Plan 2006 - 2011 [R]. Geneva: World Health Organization.
5、景正伟, 任贺, 王洪源, 等. 我国眼科资源配置公平性和效率分析[J]. 中国医院管理, 2019,39(8): 36-39.
Jing ZW, Ren H, Wang HY, et al. Analysis of equity and efficiency of ophthalmology resource allocation in China[J]. Chin Hosp Manag, 2019, 39(8): 36-39.
Jing ZW, Ren H, Wang HY, et al. Analysis of equity and efficiency of ophthalmology resource allocation in China[J]. Chin Hosp Manag, 2019, 39(8): 36-39.
6、薛江平, 程露, 沈婧, 等.. 2014年与2021年山西省眼科资源和服务能力发展的比较研究[J]. 中华眼科杂志, 2024,60(10): 838-844.DOI:10.3760/cma.j.cn112142-20240506-00205.
Xue JP, Cheng L, Shen J, et al. Comparison and analysis of ophthalmic resources and service ability in Shanxi Province in 2014 and 2021[J]. Chin J Ophthalmol, 2024, 60(10): 838-844. DOI:10.3760/cma.j.cn112142-20240506-00205.
Xue JP, Cheng L, Shen J, et al. Comparison and analysis of ophthalmic resources and service ability in Shanxi Province in 2014 and 2021[J]. Chin J Ophthalmol, 2024, 60(10): 838-844. DOI:10.3760/cma.j.cn112142-20240506-00205.
7、毛兵, 王炳坤, 焦建鹏, 等.河南省县级综合医院眼科资源调查研究[J]. 中国卫生事业管理, 2024,41(2): 176-179.
Mao B, Wang BK, Jiao JP, et al. Survey of ophthalmology resources in county-level general hospitals of Henan Province[J]. Chin Health Serv Manag, 2024, 41(2): 176-179.
Mao B, Wang BK, Jiao JP, et al. Survey of ophthalmology resources in county-level general hospitals of Henan Province[J]. Chin Health Serv Manag, 2024, 41(2): 176-179.
8、景正伟, 任贺, 王洪源, 等. 中国眼科护理人力资源配置分析[J].中华现代护理杂志, 2019,25(6): 703-707. DOI:10.3760/cma.j.issn.1674-2907.2019.06.010.
Jing ZW, Ren H, Wang HY, et al. Analysis of human resources allocation of ophthalmic nurses in China[J]. Chin J Mod Nurs, 2019, 25(6): 703-707. DOI:10.3760/cma.j.issn.1674-2907.2019.06.010.
Jing ZW, Ren H, Wang HY, et al. Analysis of human resources allocation of ophthalmic nurses in China[J]. Chin J Mod Nurs, 2019, 25(6): 703-707. DOI:10.3760/cma.j.issn.1674-2907.2019.06.010.
9、Musgrove P. Measurement of equity in health[J].World health statistics quarterly. Rapport trimestriel de statistiques sanitaires mondiales,1986, 39(4): 325-335.Musgrove P. Measurement of equity in health[J].World health statistics quarterly. Rapport trimestriel de statistiques sanitaires mondiales,1986, 39(4): 325-335.
10、赵颖波, 王建伟, 尹畅, 等. 基于洛伦兹曲线和基尼系数的我国卫生资源配置公平性研究[J]. 中国医院管理, 2018,22(2): 22-25. DOI:10.19660/j.issn.1671-0592.2018.02.07.
Zhao YB, Wang JW, Yin C, et al. Equity analysis on the health resources allocation in China based on Lorenz curve and Gini coefficient[J]. Chin Hosp, 2018, 22(2): 22-25. DOI:10.19660/j.issn.1671-0592.2018.02.07.
Zhao YB, Wang JW, Yin C, et al. Equity analysis on the health resources allocation in China based on Lorenz curve and Gini coefficient[J]. Chin Hosp, 2018, 22(2): 22-25. DOI:10.19660/j.issn.1671-0592.2018.02.07.
11、古龙, 海丽且姆·阿卜杜巴日, 买买提·牙森. 基于基尼系数的新疆卫生人力资源公平性研究[J]. 中国卫生统计, 2018,35(1): 83-85.
Gu L,Hailiqiemu Abodubari,Maimaiti Yasen. Research on equity of health human resources in Xinjiang based on gini coefficient[J]. Chin J Health Stat, 2018, 35(1): 83-85.
Gu L,Hailiqiemu Abodubari,Maimaiti Yasen. Research on equity of health human resources in Xinjiang based on gini coefficient[J]. Chin J Health Stat, 2018, 35(1): 83-85.
12、王雅萱, 陈香桦. 广东省卫生资源配置公平性研究[J].医学与社会, 2016,29(1): 13-16.DOI:10.13723/j.yxysh.2016.01.005.
Wang YX, Cen XY. Study on the equity of health resource allocation in Guangdong Province[J]. Med Soc, 2016, 29(1): 13-16. DOI:10.13723/j.yxysh.2016.01.005.
Wang YX, Cen XY. Study on the equity of health resource allocation in Guangdong Province[J]. Med Soc, 2016, 29(1): 13-16. DOI:10.13723/j.yxysh.2016.01.005.
13、范鑫, 郭延萍, 赵雅娟, 等. 上海市精神卫生资源配置现状及公平性分析[J].预防医学, 2022,34(4): 429-432.DOI:10.19485/j.cnki.issn2096-5087.2022.04.022.
Fan X, Guo YP, Zhao YJ, et al. Status and equity of mental health resources allocation in Shanghai Municipality[J]. J Prev Med, 2022, 34(4): 429-432. DOI:10.19485/j.cnki.issn2096-5087.2022.04.022.
Fan X, Guo YP, Zhao YJ, et al. Status and equity of mental health resources allocation in Shanghai Municipality[J]. J Prev Med, 2022, 34(4): 429-432. DOI:10.19485/j.cnki.issn2096-5087.2022.04.022.
14、中华医学会眼科学分会眼底病学组, 中国医师协会眼科医师分会眼底病学组. 我国主要眼底病慢病管理专家共识[J]. 中华眼底病杂志, 2024,40(4): 253-263. DOI:10.3760/cma.j.cn511434-20240220-00076.
Fundus Fundus Disease Group of Ophthalmological Society of Chinese Medical Association,Fundus Disease Group of Ophthalmologist Branch of Chinese Medical Doctor Association.Consensus of main experts in chronic diseases management of fundus diseases in China[J]. Chin J Ocul Fundus Dis, 2024, 40(4): 253-263. DOI:10.3760/cma.j.cn511434-20240220-00076.
Fundus Fundus Disease Group of Ophthalmological Society of Chinese Medical Association,Fundus Disease Group of Ophthalmologist Branch of Chinese Medical Doctor Association.Consensus of main experts in chronic diseases management of fundus diseases in China[J]. Chin J Ocul Fundus Dis, 2024, 40(4): 253-263. DOI:10.3760/cma.j.cn511434-20240220-00076.
15、黄滢, 李文丽, 邹炳文. 农村医疗资源配置区域均等化与制度优化路径[J]. 农村经济与科技, 2023,34(8): 192-195.DOI:10.3969/j.issn.1007-7103.2023.08.051.
Huang Y, Li WL, Zou BW. Regional equalization of rural medical resources allocation and system optimization path[J]. Rural Econ Sci Technol, 2023, 34(8): 192-195. DOI:10.3969/j.issn.1007-7103.2023.08.051.
Huang Y, Li WL, Zou BW. Regional equalization of rural medical resources allocation and system optimization path[J]. Rural Econ Sci Technol, 2023, 34(8): 192-195. DOI:10.3969/j.issn.1007-7103.2023.08.051.
16、 李小亭, 张秋. 基于基尼系数和差别指数的广东省卫生资源配置公平性分析[J]. 现代预防医学, 2019,46(4): 658-662+686.
Li XT, Zhang Q. Analysis on the equity of health resources allocation based on Gini coefficient and index of dissimilarity in Guangdong[J]. Mod Prev Med, 2019, 46(4): 658-662+686.
Li XT, Zhang Q. Analysis on the equity of health resources allocation based on Gini coefficient and index of dissimilarity in Guangdong[J]. Mod Prev Med, 2019, 46(4): 658-662+686.
17、 Yaghobian S, Ohannessian R, Mathieu-Fritz A, et al. National survey of telemedicine education and training in medical schools in France[J]. J Telemed Telecare, 2020, 26(5): 303-308. DOI:10.1177/1357633X18820374. Yaghobian S, Ohannessian R, Mathieu-Fritz A, et al. National survey of telemedicine education and training in medical schools in France[J]. J Telemed Telecare, 2020, 26(5): 303-308. DOI:10.1177/1357633X18820374.
18、 Nagayoshi Y, Oshima S, Ogawa H. Clinical impact of telemedicine network system at rural hospitals without on-site cardiac surgery backup[J]. Telemed J E Health, 2016, 22(11): 960-964. DOI:10.1089/tmj.2015.0225. Nagayoshi Y, Oshima S, Ogawa H. Clinical impact of telemedicine network system at rural hospitals without on-site cardiac surgery backup[J]. Telemed J E Health, 2016, 22(11): 960-964. DOI:10.1089/tmj.2015.0225.
19、黄文彬, 邝继发, 张秀妮, 等. 基于眼底图片的5G医疗眼科远程诊断中心的构建与应用[J]. 眼科学报, 2023,38(1): 1-8.DOI:10.3978/j.issn.1000-4432.2023.01.05.
Huang WB, Kuang JF, Zhang XN, et al. The construction and application of 5G remote ophthalmology diagnosis center based on fundus images[J]. Yan Ke Xue Bao, 2023, 38(1): 1-8. DOI:10.3978/j.issn.1000-4432.2023.01.05.
Huang WB, Kuang JF, Zhang XN, et al. The construction and application of 5G remote ophthalmology diagnosis center based on fundus images[J]. Yan Ke Xue Bao, 2023, 38(1): 1-8. DOI:10.3978/j.issn.1000-4432.2023.01.05.
20、赵旭峰, 马秀艳, 李雪静, 等. 远程眼底图像阅片培训在提升新疆维吾尔自治区眼科医师诊断能力中的应用[J]. 中华眼底病杂志, 2024,40(12): 941-946. DOI:10.3760/cma.j.cn511434-20240716-00271.
Zhao XF, Ma XY, Li XJ, et al. Application of remote fundus image reading training in improving the diagnostic ability of ophthalmologists in Xinjiang Uygur Autonomous Region[J]. Chin J Ocul Fundus Dis, 2024, 40(12): 941-946. DOI:10.3760/cma.j.cn511434-20240716-00271.
Zhao XF, Ma XY, Li XJ, et al. Application of remote fundus image reading training in improving the diagnostic ability of ophthalmologists in Xinjiang Uygur Autonomous Region[J]. Chin J Ocul Fundus Dis, 2024, 40(12): 941-946. DOI:10.3760/cma.j.cn511434-20240716-00271.
21、安娜, 刘成源. 新疆克拉玛依远程医学平台构建及其意义[J]. 医学信息学杂志, 2014,35(10): 36-39. DOI:10.3969/j.issn.1673-6036.2014.10.008.
An N, Liu CY. The construction and significance of Xinjiang Karamay remote consultation platform[J]. J Med Intell, 2014, 35(10): 36-39. DOI:10.3969/j.issn.1673-6036.2014.10.008.
An N, Liu CY. The construction and significance of Xinjiang Karamay remote consultation platform[J]. J Med Intell, 2014, 35(10): 36-39. DOI:10.3969/j.issn.1673-6036.2014.10.008.
22、黄毅. 我国县域医疗共同体牵头医疗机构服务能力与合作机制研究[D]. 武汉: 华中科技大学, 2019.
Huang Y. Study on the service capacity and cooperation mechanism of leading medical institutions in county medical communities in China[D]. Wuhan: Huazhong University of Science and Technology, 2019.
Huang Y. Study on the service capacity and cooperation mechanism of leading medical institutions in county medical communities in China[D]. Wuhan: Huazhong University of Science and Technology, 2019.
23、岳铭坤, 李凯, 黄超, 等. 基于洛伦兹曲线和基尼系数探析我国医疗卫生资源配置的公平性[J]. 湖南中医杂志, 2023,39(8): 110-114. DOI:10.16808/j.cnki.issn1003-7705.2023.08.031.
Yue MK, Li K, Huang C, et al. Analysis on the equity of medical and health resources allocation in China based on Lorenz curve and gini coefficient[J]. Hunan J Tradit Chin Med, 2023, 39(8): 110-114. DOI:10.16808/j.cnki.issn1003-7705.2023.08.031.
Yue MK, Li K, Huang C, et al. Analysis on the equity of medical and health resources allocation in China based on Lorenz curve and gini coefficient[J]. Hunan J Tradit Chin Med, 2023, 39(8): 110-114. DOI:10.16808/j.cnki.issn1003-7705.2023.08.031.
24、 何桂琴, 文峰]. 肥厚型脉络膜谱系疾病的广角眼底影像研究进展[J]. 眼科学报, 2025,40(2): 179-188. DOI:10.12419/24103101.
He GQ, Wen F. Advances in wide-field fundus imaging for pachychoroid disease[J]. Yan Ke Xue Bao, 2025, 40(2): 179-188. DOI:10.12419/24103101.
He GQ, Wen F. Advances in wide-field fundus imaging for pachychoroid disease[J]. Yan Ke Xue Bao, 2025, 40(2): 179-188. DOI:10.12419/24103101.
25、 罗荣, 肖凡, 周敏, 等. 江西省眼科资源及服务能力调查[J]. 江西医药, 2019,54(2): 170-173. DOI:10.3969/j.issn.1006-2238.2019.2.029.
Luo R, Xiao F, Zhou M, et al. Investigation on ophthalmology resources and service ability in Jiangxi Province[J]. Jiangxi Med J, 2019, 54(2): 170-173. DOI:10.3969/j.issn.1006-2238.2019.2.029.
Luo R, Xiao F, Zhou M, et al. Investigation on ophthalmology resources and service ability in Jiangxi Province[J]. Jiangxi Med J, 2019, 54(2): 170-173. DOI:10.3969/j.issn.1006-2238.2019.2.029.
26、马梦晖, 李甦雁. 分级诊疗体系下淮海经济区眼科专科联盟的构建与实施 [J]. 江苏卫生事业管理, 2025,36(4): 470-472. DOI:10.3969/j.issn.1005-7803.2025.04.003.
Ma MH, Li SY. Construction and implementation of ophthalmology specialty alliance in Huaihai Economic Zone under graded diagnosis and treatment system[J]. Jiangsu Healthc Adm, 2025, 36(4): 470-472. DOI:10.3969/j.issn.1005-7803.2025.04.003.
Ma MH, Li SY. Construction and implementation of ophthalmology specialty alliance in Huaihai Economic Zone under graded diagnosis and treatment system[J]. Jiangsu Healthc Adm, 2025, 36(4): 470-472. DOI:10.3969/j.issn.1005-7803.2025.04.003.
27、苏日娜. 公立医院紧密型专科联盟运行机制研究: 以X医院专科联盟为例[D]. 广州: 南方医科大学, 2024. DOI:10.27003/d.cnki.gojyu.2024.000688.
Su RN. Research on The Operating Mechanism of Close Specialty Alliance in Public HospitaIs:An Example of X Hospital Specialty Alliance. Guangzhou: Southern Medical University, 2024. DOI:10.27003/d.cnki.gojyu.2024.000688.
Su RN. Research on The Operating Mechanism of Close Specialty Alliance in Public HospitaIs:An Example of X Hospital Specialty Alliance. Guangzhou: Southern Medical University, 2024. DOI:10.27003/d.cnki.gojyu.2024.000688.
28、王艳, 王加凤, 胡娅莉, 等. 医联体背景下半紧密型护理管理模式的探索及应用[J]. 护理学杂志, 2016,31(23): 41-43. DOI:10.3870/j.issn.1001-4152.2016.23.041.
Wang Y, Wang JF, Hu YL, et al. Exploration and application of semi-compacted nursing management model under the background of medical consortium[J]. J Nurs Sci, 2016, 31(23): 41-43. DOI:10.3870/j.issn.1001-4152.2016.23.041.
Wang Y, Wang JF, Hu YL, et al. Exploration and application of semi-compacted nursing management model under the background of medical consortium[J]. J Nurs Sci, 2016, 31(23): 41-43. DOI:10.3870/j.issn.1001-4152.2016.23.041.
29、张宇, 杨琼曼, 林丽萍, 等. 眼科专科护士培训体系的构建[J]. 眼科学报, 2021,36(7): 547-553.DOI:10.3978/j.issn.1000-4432.2021.04.04.
Zhang Y, Yang QM, Lin LP, et al. Establishment of a training system for ophthalmic specialist nurses[J]. Eye Sci, 2021, 36(7): 547-553. DOI:10.3978/j.issn.1000-4432.2021.04.04.
Zhang Y, Yang QM, Lin LP, et al. Establishment of a training system for ophthalmic specialist nurses[J]. Eye Sci, 2021, 36(7): 547-553. DOI:10.3978/j.issn.1000-4432.2021.04.04.
30、姚抒予, 郑维鑫, 黄文敏, 等. 眼科互联网护理咨询门诊的探索与实践[J]. 眼科学报, 2022, 37(10): 814-820. DOI:10.3978/j.issn.1000-4432.2022.10.04.
Yao SY, Zheng WX, Huang WM, et al. Exploration and practice of Internet nurse-led clinic in ophthalmology[J]. Yan Ke Xue Bao, 2022, 37(10): 814-820. DOI:10.3978/j.issn.1000-4432.2022.10.04.
Yao SY, Zheng WX, Huang WM, et al. Exploration and practice of Internet nurse-led clinic in ophthalmology[J]. Yan Ke Xue Bao, 2022, 37(10): 814-820. DOI:10.3978/j.issn.1000-4432.2022.10.04.
31、李永刚, 尹敏, 赵瑾, 等. 广州市护士多点执业的现状访谈与分析[J]. 中华护理杂志, 2017, 52(10): 1211-1215. DOI:10.3761/j.issn.0254-1769.2017.10.012.
Li YG, Yin M, Zhao J, et al. Analysis of nurses' multi-site practice in Guangzhou based on interviews[J]. Chin J Nurs, 2017, 52(10): 1211-1215. DOI:10.3761/j.issn.0254-1769.2017.10.012.
Li YG, Yin M, Zhao J, et al. Analysis of nurses' multi-site practice in Guangzhou based on interviews[J]. Chin J Nurs, 2017, 52(10): 1211-1215. DOI:10.3761/j.issn.0254-1769.2017.10.012.
32、彭莎莎, 徐慧兰. 长沙市2007—2013年卫生资源配置公平性分析[J]. 中国卫生政策研究, 2015, 8(2): 76-82. DOI:10.3969/j.issn.1674-2982.2015.02.013.
Peng SS, Xu HL. Analysis of allocation and equity of health resources in Changsha between 2007 and 2013[J]. Chin J Health Policy, 2015, 8(2): 76-82. DOI:10.3969/j.issn.1674-2982.2015.02.013.
Peng SS, Xu HL. Analysis of allocation and equity of health resources in Changsha between 2007 and 2013[J]. Chin J Health Policy, 2015, 8(2): 76-82. DOI:10.3969/j.issn.1674-2982.2015.02.013.
1、自治区卫生健康科技计划项目(适宜技术项目)(2025001ZYWGHZSYJSTGXM650027489)。
This work was supported by Autonomous Region Health Science and Technology Plan Project (Suitable Technology Project)(2025001ZYWGHZSYJSTGXM650027489).
This work was supported by Autonomous Region Health Science and Technology Plan Project (Suitable Technology Project)(2025001ZYWGHZSYJSTGXM650027489). ( )
上一篇
下一篇
其他期刊
  • 眼科学报

    主管:中华人民共和国教育部
    主办:中山大学
    承办:中山大学中山眼科中心
    主编:林浩添
    主管:中华人民共和国教育部
    主办:中山大学
    浏览
  • Eye Science

    主管:中华人民共和国教育部
    主办:中山大学
    承办:中山大学中山眼科中心
    主编:林浩添
    主管:中华人民共和国教育部
    主办:中山大学
    浏览
目录

点击右上角菜单,浏览器打开下载

我知道了